C语言链表

  

为什么用使用链表?大家都知道定义一个数组,数组中一串数据的地址是连续的。如果想要增加,删除一个数据的话是非常麻烦的。因此可以通过定义链表的方式来增加,删除一个数是非常容易实现的。

 

一 分别用数组和链表的方式来遍历

 

 

 

二 链表节点的统计和查找

三 链表在指定节点前插入新节点

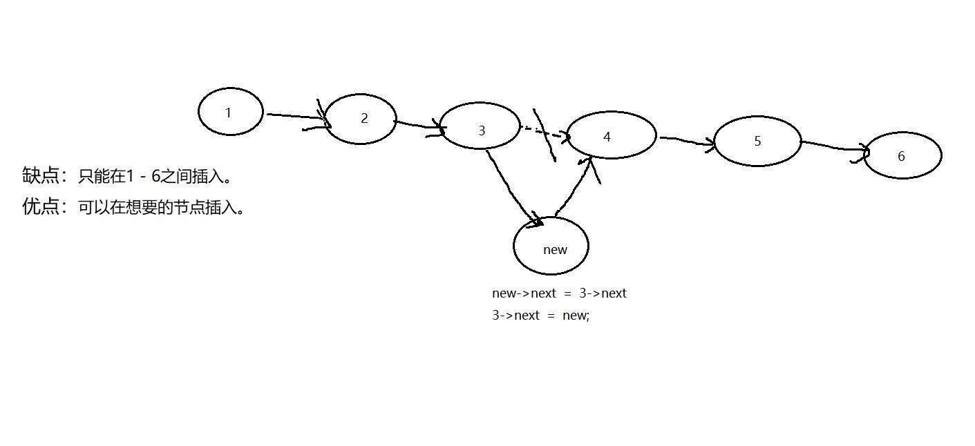
四 链表在指定节点后插入新节点

在节点的第一项插入 和在后面几项前插入

 

四 链表删除指定定节

 

 

 

五 链表头插法

 

 

六 链表尾插法

 

 

 

 

 

相关文章