浙大版《C语言程序设计(第3版)》题目集 练习3-2 计算符号函数的值 (10 分)
练习3-2 计算符号函数的值 (10 分)
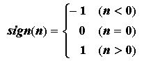
对于任一整数n,符号函数sign(n)的定义如下:

请编写程序计算该函数对任一输入整数的值。
输入格式:
输入在一行中给出整数n。
输出格式:
在一行中按照格式“sign(n) = 函数值”输出该整数n对应的函数值。
输入样例1:
10
输出样例1:
sign(10) = 1
输入样例2:
0
输出样例2:
sign(0) = 0
输入样例3:
-98
输出样例3:
sign(-98) = -1
思路:用if-else语句分三类情况讨论。
代码如下:
#include <stdio.h>
int main()
{
int x, y;
scanf ("%d",&x);
if (x<0)
y=-1;
else if(x>0)
y=1;
else
y=0;
printf("sign(%d) = %d",x,y);
return 0;
}
